
The area between two curves
The Volume of the Solid of revolution (by slicing)
1. AREA BETWEEN the CURVES
dx
![]() |
|||
![]() |
|||

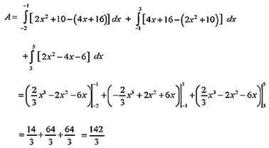
EX: Determine the area of the region bounded by y = 2x2 +10 and y = 4x +16 between x = – 2 and x = 5


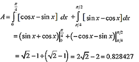
EX: Determine the area of the
region enclosed by y = sin x and y = cos x and the y -axis for
![]() |
|||
![]() |
|||
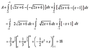
EX: Determine the area of the enclosed
area by
and
Intersection: (-1,-2) and (5,4).
![]() |
|||
![]() |
|||
THE SAME: Determine the area of the
enclosed area by
and
![]() |
|||
![]() |
|||
So, in this last example we’ve seen a case where we could
use either method to find the area.
However, the second was definitely easier.

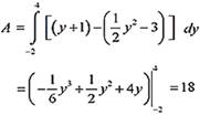
EX: Find
area
Intersection points are:
y = - 1
y = 3




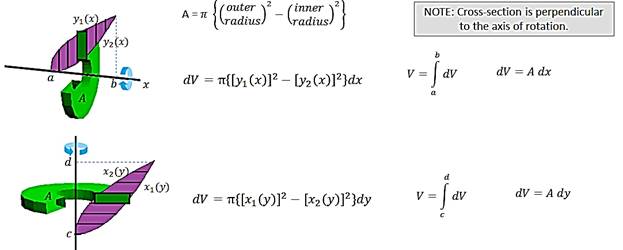
Volume of REVOLUTION
▪ Find the Volume of revolution using the disk method
▪ Find the volume of revolution using the washer method
▪ Find the volume of revolution using the shell method
▪ Find the volume of a solid with known cross sections
Area is only one of the applications of integration. We can add up representative volumes in the same way we add up representative rectangles. When we are measuring volumes of revolution, we can slice representative disks or washers.
DISK METHOD

![]() |
![]()
![]()
![]()
![]()
![]() |
|||
![]() |
|||

WASHER METHOD
A solid obtained by revolving a region around a line.



Volumes by Cylindrical Shells
![]() |
|
![]() |
|
![]() |
The Volume for Solids with Known Cross Sections
![]() |
o Procedure: volume by slicing sketch the solid and a typical
o cross section find a formula for the area, A(x), of the
o cross section find limits of integration integrate
o A(x) to get volume
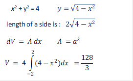
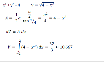
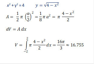
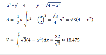
Find the volume of a solid whose base is the circle x2 + y2 = 4 and where cross sections perpendicular to the x-axis are
a) squares


b) Equilateral triangles
![]() |
|||
![]() |
|||
c) semicircles

d) Isosceles right triangles
![]() |

PRACTICE:
1. Find the volume of the solid generated by revolving about
the x-axis the
region bounded by the graph of
the x-axis, and
the line x = 5.
Draw a sketch. 1. ANS: 8π
2. Find the volume of the solid generated by revolving about
the x -axis the region
bounded by the graph of
where
the x-axis, and
the y-axis.
Draw a sketch. 2. ANS: π
3. Find the volume of the solid generated by revolving about the y-axis the region in the first quadrant bounded by the graph of y = x2, the y-axis, and the line y = 6. Draw a sketch. 3. ANS: 18 π
4. Using a calculator, find the volume of the solid generated by revolving about the line y = 8 the region bounded by the graph of y = x 2 + 4, the line y = 8. Draw a sketch. ANS: 512/15 π
5. Using a calculator, find the volume of the solid generated by revolving about the line y = –3 the region bounded by the graph of y = ex, the y-axis, the lines x = ln 2 and y = – 3. Sketch. 5. ANS: 13.7383 π
6. Using the Washer, find the volume of the solid generated by revolving the region bounded by y = x 3 and y = x in the first quadrant about the x-axis. Draw a sketch. Method (just a fancy name – use sketch and common sense!!! instead of given boundaries, you have to find it as intersection of two curves and then use sketch to subtract one volume from another ) 6. ANS: 4π/21
7. Using the Washer Method and a calculator, find the
volume of the solid generated by revolving the region bounded by y = x 3 and y = x about the line y = 2. Draw a sketch. 7.
ANS: 17π/21
8. Using
the Washer Method and a calculator, find the volume of the solid generated
by revolving the region bounded by y
= x2
and x = y2
about the y-axis. Draw a sketch. 8. ANS: 3π/10
AGAIN
PRACTICE:
1. The base of a solid is the region enclosed by the
ellipse
.
The cross sections are perpendicular to the x-axis and are isosceles right
triangles whose hypotenuses are on the ellipse. Find the volume of the solid.
1. ANS: V = 200/3
2. The base of a solid is the region enclosed by a triangle whose vertices are (0, 0), (4, 0) and (0, 2). The cross sections are semicircles perpendicular to the x-axis. Using a calculator, find the volume of the solid.
2.
ANS: V = 2.094
3. Find the volume of the solid whose base is the region bounded by the lines x + 4 y = 4, x = 0, and y = 0, if the cross sections taken perpendicular to the x-axis are semicircles.
3. ANS: V = π/6
4. The base of a solid is the region in the first quadrant bounded by the y-axis, the graph of y = arctanx, the horizontal line y = 3, and the vertical line x = 1. For this solid, each cross section perpendicular to the x-axis is a square. What is the volume of the solid? 4. ANS: V = ∫₀¹ (3 - arctan(x))² dx = 6.61233
5. A solid has its base is the region bounded by the lines
x + 2y = 6, x = 0 and y = 0 and the cross sections taken perpendicular to
x-axis are circles. Find the volume the solid.
5. ANS: 9/2 π
6. A solid has its base is the region bounded by the lines x
+ y = 4, x = 0 and y = 0 and the cross section is perpendicular to the x-axis
are equilateral triangles. Find its volume. 6. ANS: V = 16![]()